МОРФОЛИ́Н
-
Рубрика: Химия
-
-
Скопировать библиографическую ссылку:
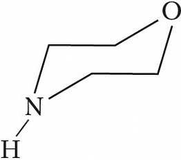
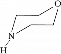
МОРФОЛИ́Н (тетрагидро-1,4-оксазин), шестичленное гетероциклич. соединение с атомами кислорода и азота, разделёнными двумя диметиленовыми группами; характерная конформация молекулы – «кресло»:
Бесцветная гигроскопичная легко воспламеняющаяся жидкость, $t_{пл}$ –4,9 °С, $t_{кип}$ 128,9 °С, плотность 1000,7 кг/м3; смешивается во всех соотношениях с водой, а также с этанолом, эфиром и др. органич. растворителями. М. – слабое основание, устойчив при нагревании в присутствии кислот и растворов щелочей, не окисляется под действием $\ce{KMnO_4}$; с солями диазония даёт устойчивые аминоазопроизводные, с содержащими $α$-атомы водорода альдегидами и кетонами образует енамины, с алкилгалогенидами – четвертичные аммониевые соли.
М. получают катализируемой серной кислотой циклизацией диэтаноламина $\ce{HO(CH_2)_2NH(CH_2)_2OH}$ и взаимодействием $β,β´$-дихлордиэтилового эфира $\ce{Cl(CH_2)_2O(CH_2)_2Cl}$ с аммиаком; применяют в качестве конденсирующего реагента в органич. синтезе, растворителя, ингибитора коррозии, компонента полировочных паст, адсорбента при очистке газов от сероуглерода $\ce{CS_2}$ и др. серосодержащих компонентов, эмульгатора, сырья для получения малотоксичных местных анестетиков (напр., $n$-нитробензоморфолина, $n$-аминобензоморфолина). М. раздражает слизистые оболочки дыхательных путей, вызывает жжение кожи при попадании на её поверхность.


