ПИРИДОКСИ́Н
-
Рубрика: Биология
-
-
Скопировать библиографическую ссылку:
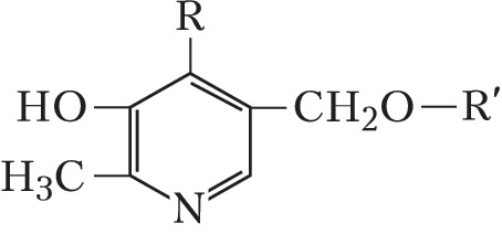
ПИРИДОКСИ́Н, одна из форм водорастворимого витамина $\ce{B6}$; впервые выделен в 1938 из дрожжей и печени. В соответствии с рекомендациями Междунар. комиссии по номенклатуре в биологич. химии термином «витамин $\ce{B6}$» обозначают П. (формула; $\ce{R=CH2OH,\,R'=H}$, $t_{пл}$ 62–64 °C), пиридоксаль ($\ce{R=CHO, R'=H}$; $t_{пл}$ 225–226 °C) и пиридоксамин ($\ce{R=CH2NH2, R'=H}$; $t_{пл}$ 193–193,5 °C), обладающие одинаковой витаминной активностью. Все 3 соединения способны к взаимному превращению в организме и отличаются друг от друга природой заместителя в положении 4 пиридинового кольца. Поступая в организм, П. фосфорилируется с образованием пиридоксальфосфата $\ce{[R=CHO, R'=PO(OH)2]}$ и входит в состав активного центра т. н. пиридоксалевых ферментов, участвующих преим. в реакциях переаминирования и декарбоксилирования аминокислот, гликогенфосфорилазы и др. П. и его аналоги образуются при биосинтезе микроорганизмами, зелёными растениями, у жвачных животных и человека – микрофлорой кишечника; в пром-сти получают химич. синтезом. Недостаток витамина B6 вызывает анемию, дерматит, судороги. Суточная потребность взрослого человека 2–2,5 мг, детей 0,5–2,2 мг.


